產品介紹 | PRODUCTS
聯系我們 | CONTACT US
- 內貿部:18953701056 (劉廣臣)
您所在的位置首頁 >>
產品介紹 >>
有機膦系列阻垢緩蝕劑、螯合劑 >>
PBTCA產品介紹
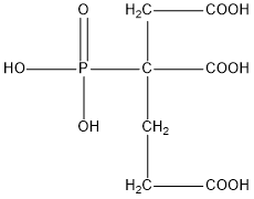
2-膦酸丁烷-1,2,4-三羧酸PBTCA
2-Phosphonobutane -1,2,4-Tricarboxylic Acid (PBTCA)
CAS No. 37971-36-1
別名:1,2,4-三羧酸-2-膦酸基丁烷;PBTC;2-膦酰基-1,2,4-丁烷三羧酸;膦酰基丁烷三羧酸;
分子式 C7H11O9P 相對分子質量:270.13
一、性能與用途
PBTCA含磷量低,由于它具有膦酸和羧酸的結構特性,使其具有良好的阻垢和緩蝕性能,優于常用的有機膦酸,特別在高溫下阻垢性能遠優于常用的有機膦酸,能提高鋅的溶解度,耐氯的氧化性能好,復配協同性好。PBTCA在高效阻垢緩蝕劑復配中應用范圍廣,性能優越,也是鋅鹽的優良穩定劑。廣泛應用于循環冷卻水系統和油田注水系統的緩蝕阻垢,特別適合與鋅鹽、共聚物復配使用,可用于高溫、高硬、高堿及需要高濃縮倍數下運行的場合,PBTCA在洗滌行業中可作螯合劑及金屬清洗劑。
二、技術指標 符合HG/T 3662-2010
| 項 目 | 指 標 |
| HG/T 3662-2010 | |
| 外 觀 | 無色至淡黃色透明液體 |
| 活性組分(以PBTCA計)/% | ≥50.0 |
| 亞磷酸(以PO33-計)/% | ≤0.5 |
| 正磷酸(以PO43-計)/% | ≤0.2 |
| pH值(1%水溶液) | 1.5~2.0 |
| 密度(20℃)/g·cm-3 | ≥1.27 |
| Fe含量(以Fe計) /mg·L-1 | ≤10.0 |
| 氯化物含量(以Cl-計) /mg·L-1 | ≤10.0 |
三、使用方法
PBTCA一般與鋅鹽、共聚物、有機磷、唑類等其它水處理劑復配使用。如單獨使用投加劑量為5~15mg/L。
四、包裝與貯存
PBTCA用塑料桶包裝,每桶25Kg或250Kg。貯存于室內陰涼處。貯存期十二個月。
五、安全防護
PBTCA為酸性,操作時注意勞動保護,應避免與皮膚、眼睛等接觸,接觸后用大量清水沖洗。
銷售熱線:0632-5113088 銷售傳真: 0632-5113155
地址:山東省棗莊市市中區十里泉東路1號 網址:http://m.cnsports.cc E-mail:th@thwater.com
版權所有© :2006-2021 山東泰和科技股份有限公司 魯ICP備09091669號-43
地址:山東省棗莊市市中區十里泉東路1號 網址:http://m.cnsports.cc E-mail:th@thwater.com
版權所有© :2006-2021 山東泰和科技股份有限公司 魯ICP備09091669號-43


